Prema službenim podacima Porezne uprave Federacije BiH porezni obveznici u Zenici su u periodu od 1. januara do 31. marta ove godine uplatili 607.689.357,04 KM javnih prihoda.
U poređenju sa istim periodom 2023. godinom, to je za 98.340.896,96 KM manje uplaćenih javnih prihoda u Zenici, što predstavlja upaljen alarm za cijeli grad.
Također, prema ovim podacima, u mjesecu martu 2024. godine, u Zenici je kroz fiskalne kase registrovan promet od 221.277.452,47 KM, što je 42,6 miliona KM manje nego u martu 2023. godine.
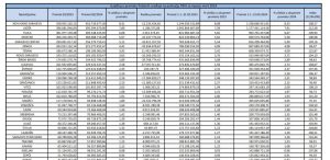
Prema službenim podacima Porezne uprave Federacije BiH na dan 31.03.2024. godine na području Federacije BiH instalirano je ukupno 100.771 fiskalnih uređaja, putem kojih je u martu 2024. godine evidentiran ukupan promet u iznosu 5.012.676.619,80 KM.
U odnosu na 31.03.2023. godine broj fiskalnih uređaja je veći za 4.981, a evidentirani promet u martu 2024. godine je manji u odnosu na mart 2023. godine za 261.252.731,90 KM.
Općina s najvećim brojem fiskalnih uređaja na dan 31.03.2024. godine je Općina Centar Sarajevo na čijem području je instalirano 6.656 fiskalnih uređaja.
Općina s najmanjim brojem fiskalnih uređaja na dan 31.03.2024. godine je Općina Dobretići na čijem području je instalirano 6 fiskalnih uređaja.
Općina na kojoj je evidentiran najveći ukupan promet putem fiskalnih uređaja u martu 2024. godine je Općina Novi Grad Sarajevo na čijem području je evidentiran ukupan promet u iznosu 416.719.677,50 KM.
Općina na kojoj je evidentiran najmanji ukupan promet putem fiskalnih uređaja u martu 2024. godine je Općina Pale na čijem području je evidentiran ukupan u iznosu 164.890,37 KM.
Ono što je alarmantno za naš grad je nagli trend opadanja javnih prihoda koji je u odnosu na period januar-mart 2023 umanjen za skoro 100 miliona KM. Ovo se najviše može pripisati teškoj situaciji u kojoj se nalazi ArcelorMittal Zenica koji predstavlja snagu skoro pola zeničke ekonomije.
Kakva budućnost čeka Zenicu u slučaju da se ovaj trend nastavi ostaje da vidimo, ali ovo predstavlja upaljen alarm za sve donosioce odluka u ovom gradu da se ekonomija Zenice nalazi u teškoj situaciji.
Kontakt sa portalom Zenicablog možete ostvariti:
email: [email protected]
Viber poruke: +387 60 355 8888
Facebook Inbox: https://www.facebook.com/Zenicablog/
Twitter: https://twitter.com/Zenicablog2010








