Primaj prvi vijesti na viber - besplatno - PRIJAVI SE NA OVOM LINKU
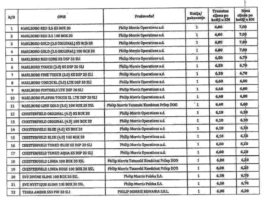
Uprava za indirektno oporezivanje Bosne i Hercegovine obavijestila je o novim malopridajnim cijenama cigareta od tri distributera.
Cigarete kompanije TDR poskupjet će od 13. februara, zatim od 19. februara primjenjuju se nove cijene Philip Morrisa, a od 9. marta to će učiniti Nelt.
U nastavku pogledajte nove cijene:
Strogo je zabranjeno preuzimanje sadržaja, vijesti, videa ili fotografija bez navođenja izvora i bez dozvole. Vlasnik materijala su Agencija za promociju PRmedia s.d. i portal Zenicablog, osim ako nije navedeno drukčije.
Kontakt sa portalom Zenicablog možete ostvariti:
email: [email protected]
Viber poruke: +387 60 355 8888
Facebook Inbox: https://www.facebook.com/Zenicablog/
Twitter: https://twitter.com/Zenicablog2010
Kontakt sa portalom Zenicablog možete ostvariti:
email: [email protected]
Viber poruke: +387 60 355 8888
Facebook Inbox: https://www.facebook.com/Zenicablog/
Twitter: https://twitter.com/Zenicablog2010















