Primaj prvi vijesti na viber - besplatno - PRIJAVI SE NA OVOM LINKU
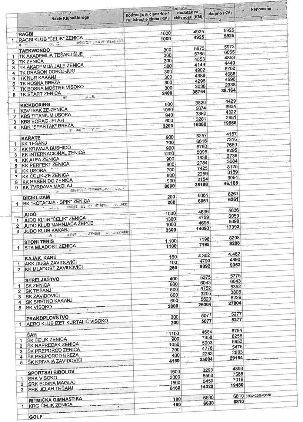
Vlada Zeničko-dobojskog kantona opredjelila je sredstva za sportske klubove i pojedince u ovom Kantonu.
Sredstva su opredjeljena na osnovu rezultata, te potreba kotizacija.
Cjelokupan raspored sredstava transparentno je objavljen u višestrukim tabelama, koje donosimo u nastavku.
Strogo je zabranjeno preuzimanje sadržaja, vijesti, videa ili fotografija bez navođenja izvora i bez dozvole. Vlasnik materijala su Agencija za promociju PRmedia s.d. i portal Zenicablog, osim ako nije navedeno drukčije.
Kontakt sa portalom Zenicablog možete ostvariti:
email: [email protected]
Viber poruke: +387 60 355 8888
Facebook Inbox: https://www.facebook.com/Zenicablog/
Twitter: https://twitter.com/Zenicablog2010
Kontakt sa portalom Zenicablog možete ostvariti:
email: [email protected]
Viber poruke: +387 60 355 8888
Facebook Inbox: https://www.facebook.com/Zenicablog/
Twitter: https://twitter.com/Zenicablog2010































