Kantonalno tužilaštvo Zeničko-dobojskog kantona, podiglo je optužnicu protiv Mahmutagić Mirsada zbog produženog krivičnog djela nesavjestan rad u službi iz člana 387. Stav 2. U vezi sa stavom 1. KZ F BiH. Optužnica je u cijelosti potvrđena od strane sudije za prethodno saslušanje Općinskog suda u Zavidovićima.
Mirsad Mahmutagić zvani Batan je aktuelni načelnik Općine Maglaj, te predsjednik Kantonalnog odbora SDP-a u Zeničko-dobojskom kantonu. Zanimljivo je da je, iako je od podizanja optužnice u Kantonalnom tužilaštvu ZDK i njenog potvrđivanja proteklo više od dva i po mjeseca, ova informacija je “promakla” medijima.
Da optužnica postoji, da je potvrđena i da se očekuje početak suđenja u Zavidovićima, saznali smo od čitalaca našeg portala, koji su tako komentirali današnje vijesti bh. medija raspad vladajuće koalicije u Maglaju, o čemu je pisao portal Klix.
Na stranici Tužilaštva ZDK objavljena je cjelokupna optužnica i šta se Mahmutagiću stavlja na teret.
*Molimo Vas da pri čitanju informacija koje objavljuje Kantonalno tužilaštvo Zeničko-dobojskog kantona o predmetima u kojima su osobe osumnjičene ili optužene za krivična djela, imate u vidu presumpciju nevinosti iz člana 3. Zakona o krivičnom postupku F BiH u kojem je u stavu 1. definisano da se svako smatra nevinim za krivično djelo dok se pravosnažnom presudom ne utvrdi njegova krivnja.
Optužnica koja se nalazi u prilogu objave je anonimizirana u cilju zaštite oštećenih lica, svjedoka, službenih evidencija…
BOSNA I HERCEGOVINA – FEDERACIJA BOSNE I HERCEGOVINE – ZENIČKO-DOBOJSKI KANTON
KANTONALNO TUŽILAŠTVO-TUŽITELJSTVO ZENIČKO-DOBOJSKOG KANTONA Z E N I C A
Broj: T04 0 KTPO 0048166 22 – Zenica, 07.03.2023. godine
OPĆINSKOM SUDU U ZAVIDOVIĆIMA – – Sudiji za prethodno saslušanje – ZAVIDOVIĆI
Na osnovu člana 45.stav 2. tačka i) i člana 241. stav 1. Zakona o krivičnom postupku FBIH,
p o d i ž e m
O P T U Ž N I C U
Protiv:
MAHMUTAGIĆ MIRSADA zvani „Batan“, 1970. godište, iz Maglaja, neosuđivan.
Što je:
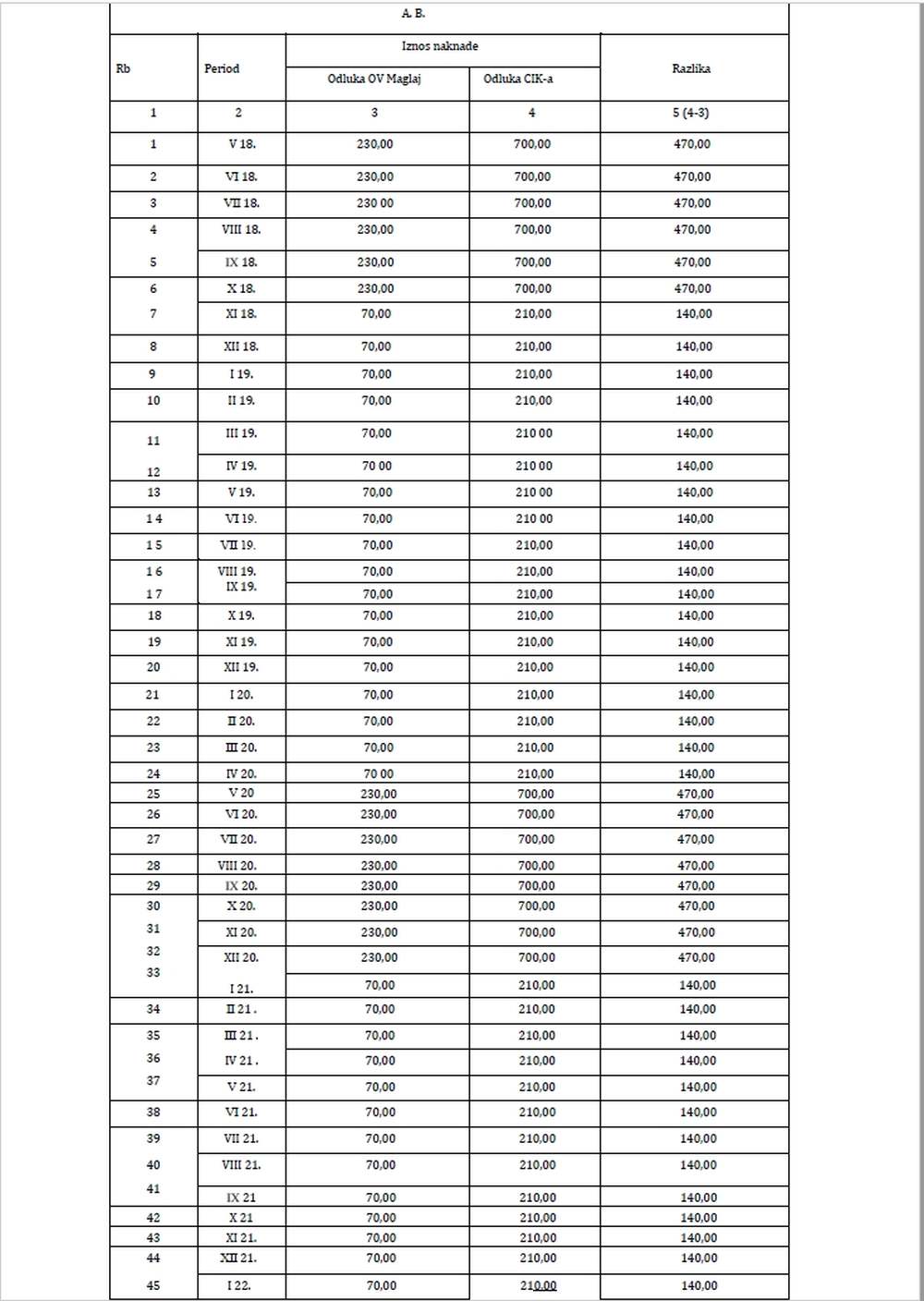
U vremenskom periodu počev od 01.01.2017. godine do 31.03.2022. godine, u Maglaju, u svojstvu službene osobe u Federaciji, kao načelnik općine Maglaj, izabran na lokalnim izborima 2016. i 2020. godine, u kojem svojstvu je prema odredbama člana 15. stav 1. tačka 3. i 4. Zakona o principima lokalne samouprave u Federaciji Bosne i Hercegovine i prema odredbama člana 42. stav 1. tačka 3. i 4. Statuta Općine Maglaj, između ostalog, bio ovlašten da izrađuje nacrt i prijedlog budžeta i prijedloge drugih odluka i da iste podnosi Općinskom vijeću radi usvajanja, svjesno povredom odredbe člana 42. stav 3. Statuta Općine Maglaj, kojim je propisano da načelnik odgovora za ustavnost i zakonitost akata koje predlaže Vijeću, te odredbe člana 1. stav 1, 2. i 3. i člana 2. stav 1, 2. i 3. Odluke o visini naknade za rad članovima izborne komisije osnovne izborne jedince u Bosni i Hercegovini – Prečišćeni tekst (Sl. glasnik BiH broj 32/16), prema kojim je propisano da isti članovi imaju pravo na stalnu mjesečnu naknadu za svoj rad i da se ista, ukoliko je to povoljnije za članove, isplaćuje u utvrđenim iznosima prema broju upisanih birača za određenu osnovnu izbornu jedinicu, pa je konkretno za Općinu Maglaj, kao osnovne izborne jedinice u kojoj je u izvodu iz Centralnog biračkog spiska upisano do 50.000 birača ta naknada propisana u visini od 210,00 KM mjesečno, a u visini od 700,00 KM mjesečno kao naknada u izbornom periodu, te i suprotno odredbama člana 1.2a stav 3. Izbornog zakona Bosne i Hercegovine u vezi sa članom 3. Odluke o visini naknade za rad članovima izborne komisije osnovne izborne jedince u Bosni i Hercegovini – Prečišćeni tekst (Sl. glasnik BiH broj 32/16), kojim je propisano da se sredstva za navedene naknade obezbjeđuju u budžetu osnovne izborne jedinice, očito nesavjesno postupio u vršenju svoje dužnosti na način da je za pojedinačne godine predlagao odluke o visini naknade članovima Općinske izborne komisije Maglaj u manjim mjesečnim iznosima o navedenih propisanih iznosa i to u visini od 70,00 KM mjesečno kao stalnu naknadu i u visini od 200,00 KM mjesečno za izborni period, pozivajući se u preambulama ovih odluka na nevažeće odredbe ranije Odluke o visini naknade za rad članova izborne komisije osnovne izborne jedinice u Bosni i Hercegovini (“Službeni glasnik BiH”, br. 37/10, 53/10 i 38/14) koja je stupanjem na snagu nove navedene Odluke o visini naknade za rad članova izborne komisije osnovne izborne jedinice u Bosni i Hercegovini – Prečišćeni tekst (Sl. glasnik BiH broj 32/16) prestala da važi, te takve pojedinačne svoje odluke dostavljao Općinskom vijeće na usvajanje, a počev od 2019. godine nastavio predlagati iste takve odluke i pored donesenih sudskih odluka u kojima je ukazano da se prilikom utvrđivanja visine naknade istim članovima imaju primjenjivati prethodno navedene odredbe članova Odluke o visini naknade za rad članova izborne komisije osnovne izborne jedinice u Bosni i Hercegovini – Prečišćeni tekst (Sl. glasnik BiH broj 32/16), što je i htio, svjesno pristajući da takvim svojim postupanjem i vršenjem dužnosti suprotno propisanom načinu bude povrijeđeno pravo članova Općinske izborne komisije Maglaj na pravičnu naknadu za rad u punom iznosu i time se istim nanese imovinska šteta, koja se ogleda u razlikama isplaćenih i pripadajućih visina naknade za rad, za koji iznos je oštetio članove Općinske izborne komisije i to pojedinačno:
Čime su ovi članovi Općinske izborne komisije oštećeni za ukupan iznos od 38.028,13 KM. Čime je počinio produženo krivično djelo Nesavjestan rad u službi iz člana 387. stav 2. u vezi sa
stavom 1. KZ F BiH, sve u vezi sa članom 55. KZ F BiH, navodi se u optužnici.
Kontakt sa portalom Zenicablog možete ostvariti:
email: [email protected]
Viber poruke: +387 60 355 8888
Facebook Inbox: https://www.facebook.com/Zenicablog/
Twitter: https://twitter.com/Zenicablog2010





















